Busca tu tema aquí - Google - Lizerindex®

29 octubre 2012

Tasas de interés

 
Simbología
J= tasa anual dada convertible más de un año (tasa nominal)
i= tasa de interés efectivamente ganada
n= número de periodos de interés
m= número de capitalizaciones en el año
i’= J/m = tasa de interés por periodo de interés o tasa proporcional


 Ver más...

da clic para seguir el vinculo:

relación entre la tasa nominal y la tasa efectiva

tasa nominal

conversión de la tasa efectiva en tasa nominal

conversión de una tasa nominal en una tasa efectiva

tasa periódica o proporcional

tasa equivalente partiendo de una tasa efectiva

tasa de interés real

INTERÉS COMPUESTO

 
Contrario al interés simple, en el interés compuesto se realiza una inversión sin retirar el interés, es decir, este interés continua sumándose a la inversión inicial y gana intereses en cada periodo.
Sus características fundamentales son:
Los intereses se acumulan al stock inicia para generar nuevos intereses
El horizonte temporal “n” es un exponente
El stock final crece en forma exponencial a lo largo del tiempo
Su fórmula principal de capitalización es:
S= P (1+ i)n
 Ver más...

Ejemplo:
Un comerciante cuenta con un stock de efectivo de 5000 dólares y un banco le ofrece una tasa de intereses del 4% semestral cuando transcurra un periodo de 4 semestres, ¿a cuanto asciende la renta acumulada de intereses compuestos y el stock final de efectivo?

Horizonte de tiempo Stock inicial intereses Stock final
0 5000
1 5000 200 5200
2 5200 208 5408
3 5408 216,32 5624,32
4 5624,32 224,97 5849,29


  Ver más...

Da clic para seguir el vínculo:
Deducción de la fórmula de interés compuesto
Formulas financieras de interés compuesto
Diferencias entre interés simple y compuesto
Formulas derivadas del monto a interés compuesto
Monto de interés compuesto con variación de tasa
Monto en función de la tasa nominal capitalizable
Monto con periodos de capitalización financiera
Interés compuesto con principal y tasa efectiva constante
Multiplicación de un capital a interés compuesto
Ecuaciones de valor equivalente a interés compuesto
Periodo equivalente o con vencimiento común en interés compuesto





















Tasa equivalente partiendo de una tasa efectiva

 
Estos ejercicios se resuelven haciendo uso de:
image

 Ver más...

Dónde:
F: número de días del periodo de interés que se busca
H: número de días del periodo de interés
Ejemplo:
Calcular la TEM a partir de una TEA del 30%
Datos:
i = 0,30 TEA
TEM = ?
F = 30
H = 360
 Ver más...

Desarrollo:
i’ = (1 + 0,30)30/360 – 1
i’ = 0,0221
i’ = 2,21%
 Ver más...

















Tasa periódica o proporcional

 
permite hallar una parte de una tasa efectiva, para hallarla se hace uso de las formulas:
image
 Ver más...


Ejemplo:
la TEA alcanza un 45% , establecer la TEM equivalente
datos:
i= 0,45 TEA
i’=? TEM
m = 12
 Ver más...

desarrollo:
i’ = (1 + 0,45)1/12 -1
i’ = 0,0314
i’ = 3,14%
 Ver más...













Conversión de una tasa nominal en una tasa efectiva

 
Se usan las siguientes formulas:
image
 Ver más...


Ejemplo:
Hallar las tasas efectivas que se obtendrían de una tasa nominal de 15% si las conversiones hicieran:
a) Trimestral
b) Semestral
c) Mensual
d) Diariamente
Desarrollo:
a) m=4
i= (1+0,15/4)4-1
i=15,87%

b) m= 2
i= (1+0,15/2)2-1
i=15,56%

c) m=12
i= (1+0,15/12)12-1
i=16,07%

d) m= 360
i= (1+0,15/360)360-1
i=16,18%
 Ver más...

























Conversión de la tasa efectiva en tasa nominal

 
se hace uso de las siguientes fórmulas:
image
 Ver más...


ejemplo:
hallar la tasas nominales que convertibles semestral, trimestral, mensual y diariamente equivalen a una tasa efectiva de 24%
datos:
J= ?
i = TE = 24%
m = 2, 4, 12, 360
desarrollo:
a) m=2
J = 2 ((1+0,24)1/2-1)
J=22,71%
b) m=4
J = 4 ((1+0,24)1/4-1)
J= 22,10%
c) m=12
J = 12 ((1+0,24)1/12-1)
J= 21,71%
d) m=360
J = 360 ((1+0,24)1/360-1)
J= 21,52%
Recuerda, a mayor número de capitalizaciones menor es la tasa nominal.
 Ver más...























Tasa nominal

 
Para hacer cambios entre una tasa nominal de un periodo a otra tasa nominal de otro periodo se procede así:
 Ver más...

Calcular la tasa nominal trimestral a una tasa nominal anual del 24%
Datos:
TNA: i = 24%
TNT: ?
m = 4
 Ver más...

desarrollo:
TNT = J ( TNA)/ m = 0,24/4 = 0,06
La tasa nominal trimestral es del 6%
Calcular la tasa nominal anual a partir de una tasa nominal mensual del 2%
TNM = 2%
TNA = ?
m = 1/12
 Ver más...

desarrollo:
TNA = 0,02/18/1/12 = 0,24 = 24%
 Ver más...















Relación entre la tasa nominal y la tasa efectiva

 
Existe una relación de equivalencia, y se puede expresar de la siguiente manera:
 

image
 Ver más...

image
 Ver más...





Periodo equivalente o con vencimiento común en interés compuesto

 
Se trata de pagar el total de las sumas en una sola fecha
El tiempo que hay que realizar un pago recibe el nombre de periodo equivalente y se igualan los periodos actuales
 Ver más...

Ejemplo:
Si hay que pagar 5000 dólares dentro de 3,5 años; 3000 dólares dentro de 2 años y 7000 dólares dentro de 4 años , la tasa es 6% capitalizable semestralmente, hallar el periodo de equivalencia
image
 Ver más...


3000(1+0,06/2)-x + 5000(1+0,06/2)-x +7000(1+0,06/2)-x=3000(1,03)-4+5000(1,03)-7+7000(1,03)-8
X = 6,8328
Rspta: 6 semestres y 150 días
 Ver más...









Ecuaciones de valor equivalente a interés compuesto

 
Ejemplo:
Si se desea pagar las obligaciones que a continuación se indican mediante dos importes uno al sexto y otro al noveno mes ambos iguales tomando como fecha focal el fin de mes 12, siendo la tasa de interés del 9% mensual, calcular el valor de cada pago.
 Ver más...


Dólares Tiempo
10000 5 meses
12000 7 meses
15000 8 meses
13000 12 meses

 Ver más...



image
 Ver más...

Desarrollo:
x (1 + 0,09)6 + x (1 + 0,09)3 = 10000 (1 + 0,09)7 + 12000 (1+0,09)3 + 15000 (1 +0,09)4 + 13000
x = $ 23860,88






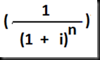
Valor actual o valor presente a interés compuesto

 
Se hace uso de las formulas:
image
 Ver más...

Se tiene el factor simple de actualización:
image
 Ver más...


El cual transforma un stock final de efectivo en un stock inicial de efectivo
Ejemplo:
Hallar el valor actual de 10000 dólares pagaderos dentro de 10 años al 5% con acumulación anual
Datos:
P = ?
S = 10000
n = 10 años
i = 5% anual

 
S = 10000/ (1 + 0,05)10
S = $ 6139,13

S = 10000 (1/((1 +0,05)10)
S = $ 6139,13
 Ver más...


Hallar el valor de 5000 dólares pagaderos dentro de 6 años al 6% capitalizable trimestral
S = 5000
n = 6 años
i = 6% 0,06/4 = 1,5% = 0,015
Capitalizable trimestralmente

 
Desarrollo:
P = 5000 ((1+(0,06/4)6x4)
P = 5000 (0,699543919)
P = $ 3497,72
 Ver más...
































Multiplicación de un capital a interés compuesto

 
Para hacer esta operación se hace uso de las siguientes formulas:

image
 Ver más...

Ejemplo:
Hallar la tasa semestral a la que se debe colocar un capital para que a interés simple se cuadruplique en 20 semestres
K= 4
n= 20 semestral
i = ?
i = 4 1/20 – 1
i = 1,071773463-1
i = 0,071773463
i = 7,177% semestral

  Ver más...

En qué tiempo se cuadruplica un capital al 7,177% semestral
K = 4
n = ?
i = 7,177% semestral
  Ver más...

desarrollo:
n = log 4/(log (1 + 0,07177))
n = 20,00093222 semestres
 Ver más...






















Interés compuesto con principal y tasa efectiva constante

 

Ejemplo:
Si una persona deposita 10000 dólares en una institución financiera y devenga una TEM de 2% ¿Qué interés compuesto abra acumulado en tres meses?
Datos:
P = 10000
i = 2% TEM
n= 3 meses
  Ver más...

Desarrollo:
I = 10000 ((1+0,02)3-1)
I = 10000 (0,061208)
I = $ 612,08
  Ver más...










Monto con periodos de capitalización financiera

 
Para hallar este monto se puede hacer uso de dos métodos:
a) Método comercial
Comercialmente el monto compuesto para los periodos de capitalización enteros y el interés simple se utiliza para las fracciones de periodos
Se hace uso de la fórmula:
S = P (1 + i)n (1 + in)
Dónde: P (1 + i)n es un entero y (1 + in) es una fracción Ver más...




b) Método teórico
Desde el punto de vista teórico el monto debe calcularse a interés compuesto para el total de periodos incluida la fracción:
S = P ( 1 + i)n donde “n” es una fracción

Ejm:
Hallar el monto de 100000 dólares colocados el 6% con capitalización anual, durante 2 años y 4 meses, has uso del método comercial y el teórico: Ver más...

Desarrollo

Por el método comercial:
S = 100000(1+0,06)2 (1+0,06)
S = $ 114607,2

Por el método teórico:
S = 100000 (1+0,06) (2+4/12)
S = 100000 (1,145636967)
S = $114563,7
  Ver más...





Monto en función de la tasa nominal capitalizable

 
j = tasa nominal
n= número de capitalizaciones en el año

image

 Ver más...

Ejemplo:
Calcular el monto compuesto que rindió un capital de 1000 dólares en el plazo de medio año que se colocó a una TNM de 2% capitalizable cada quincena.

Datos:
P = 10000
n= 6 meses
i = 2% TNM
m = 2

S = P (1 + (j/m))n
S = 1000 (1 + 0,02/2)6x2
S = 1000 (1,2682503)
S = $ 1126,83
 Ver más...

Debemos recordar que “m” debe estar en función de “i”, y “n” debe estar en función de la capitalización.

Monto de interés compuesto con variación de tasa

 
Se utiliza cuando existen variaciones de la tasa a través del tiempo de interés, i1 y n1 deben estar en el mismo tiempo, al igual que n2 y i2 …hasta im y nm
Se hace uso de la siguiente formula:
S = P ((1+i1)n1(1+i2)n2…(1+im) nm)
 Ver más...

Ejm:
Se requiere calcular el monto compuesto que origino un depósito de ahorro de 50000 dólares colocado a un plazo fijo en el banco desde el 2 de julio al 30 de setiembre del mismo año con una tasa del 24% TEA, en ese plazo la TEA bajo al 22% el 15 de julio y al 20% el 16 de setiembre
Desarrollo:
image
 Ver más...

S = 50000 ((1 + 0,24)13/360 (1+0,22)63/360 (1+0,20)14/360)
S = 50000 (1,050910671)
S = $ 5254,53

A PARTIR DE i n
2 de julio 24% 13
15 de julio 22% 63
16 de setiembre 20% 14
30 de setiembre

 Ver más...











Formulas derivadas del monto a interés compuesto

 
Son las siguientes:
image
 Ver más...


Calcular el monto acumulado al cabo de 4 años a partir de un capital inicial de 10000 dólares a una TEA de 18%
Datos:
S = ?
n = 4 años
P = 10000
i = 18% TEA
Desarrollo:
S = P ( 1 + i)n
S= 10000 (1+0,18)4
S = 10000 (1,93877776)
S = $ 19387,78
  Ver más...











Diferencias entre interés simple y compuesto

 
16% en un año es un 16% de interés simple
16% en un año es un 16% más un plus de interés compuesto
Porque el 16% es una tasa nominal y la tasa efectiva es el verdadero cobro de intereses.
 Ver más...

Así tenemos que:
Las tasas de interés efectivas tienen siglas específicas:

Intereses Siglas
Anual TEA
Semestral TES
Cuatrimestral TEC
Trimestral TET
Bimestral TEB
Mensual TEM
Quincenal TEQ
Diaria TED


 Ver más...

Ejemplo:
Un banco paga por los depósito que recibe una tasa nominal mensual del 3% con capitalización trimestral , que monto se habrá acumulado con un capital inicial de 3000 dólares en 6 meses
Datos
P= $ 3000
i= 0,03 TEM
n= 6 meses
 Ver más...

Capitalización trimestral
Desarrollo:
Primero convertimos a la tasa en trimestral:
0,03 x 3 = 0,09 TET
Luego convertimos a los meses en trimestres:
6/3 = 2 trimestres
Luego hallamos el monto:
S = 3000 (1+ 0,09)2
S = 3000 (1,048808848)
S = $ 1048,81
  Ver más...



















Formulas financieras de interés compuesto

 
Capitalización compuesta
S = P (1 +i)n
Formula del interés compuesto
I = S – P I = P (1 + i)n-1 I = P ((1 + i)n -1)
 Ver más...

Ejemplo:
Un comerciante cuenta con un stock de efectivo de 5000 dólares y un banco le ofrece una tasa de intereses del 4% semestral cuando transcurra un periodo de 4 semestres, ¿a cuanto asciende la renta acumulada de intereses compuestos y el stock final de efectivo?
Datos:
P= $ 5000
i = 4% semestral
n = 4 semestres
  Ver más...

Calculo del stock final de efectivo
S = 5000 (1+0,04)4
S = 5000 (1,16985856)
S = $ 5849,29
 
Calculo de la renta acumulada de intereses
I = P ((1 + i)n-1)
I = 5000 ((1 +0,04)4 – 1)
I = 5000 (0,16985856)
I = $ 849,29
  Ver más...


















Deducción de la fórmula de interés compuesto

 
Para deducir el interés compuesto en un periodo de capitalización podemos hacer uso del siguiente cuadro:

Horizonte de tiempo Stock inicial Interés Stock final
0 P
1 P P x i P + Pi = P (1+i)
2 P(1+i) P (1+i) x i P (1+i) + P (1+i) x i = P (1+i) (1+i)= P (1+i)2
3 P(1+i)2 P (1+i)2 x i P (1+i)2 + P (1+i)2 x i= P (1+i)3
4 P(1+i)3 P (1+i)3 x i P (1+i)3 + P (1+i)3 x i= P (1+i)4
n P(1+i)n-1 P (1+i)n-1 x i P (1+i)n-1 + P (1+i)n-1 x i= P (1+i)n


(Análisis de sensibilidad de variación de la fórmula de interés compuesto)
 Ver más...


Tasa de interés real

 
La tasa de interés real es una tasa a la cual se le ha deducido el efecto de la inflación.
La tasa real (R, r) representa a la tasa a la cual el dinero presente se transforma en dinero futuro con capacidad de compra de hoy.
Inflación.- subida de los precios en forma sostenida
Se usa la fórmula:
image
 Ver más...


Donde:
r = tasa real
f= tasa de inflación
la capitalización con esta tasa real se resuelve de la siguiente forma:
S = (1+ r)n
 Ver más...

Ejemplo:
Si 1000 dólares son depositados en una cuenta de ahorros a 10% anual de interés por 7 años , y la tasa de inflación es del 8% ¿Cuál es la cantidad de dinero que se puede acumular con capacidad de compra de hoy?
Datos:
r = ?
f = 8%
i = 10%
S = 1000
n = 7 años
 Ver más...

Desarrollo:
r = (0,1-0,08)/(1 + 0,08) = 0,018518518
S = 1000 (1+0,018518518)7
S = $ 1137,06
Y sin inflación:
S = 1000 (1 + 0,10)7
S = $ 1948,72
Eso quiere decir que lo hoy día se compra por $ 1948,72 dentro de 7 años se compra con $ 1137,06
 Ver más...



























28 octubre 2012

Marca Perú - Videos

Esta es la selección de los vídeos mas importantes de la Marca Perú que no solo muestran episodios de la historia del Perú, sino que también muestran lo que significa identidad Latinoamericana, te invito cordialmente a verlos, ¡¡¡¡no te arrepentirás!!!!

 Ver más...


¡¡¡No olvides compartir con tus amigos estos vídeos!!!

 Ver más...


¡¡¡No olvides compartir con tus amigos estos vídeos!!!



¡¡¡No olvides compartir con tus amigos estos vídeos!!!

27 octubre 2012

LA TASA DE INTERÉS

 
Es el porcentaje que se obtendrá producto de una inversión; se puede expresar también en decimales.
Matemáticamente se puede hacer uso de esta formulas:
image
 Ver más...

Ejemplo:
Una persona a hecho un préstamo de 150 dólares y va a tener que devolver después de cierto tiempo 180 dólares ¿Cuál es la tasa de interés que le están cobrando?
image
 Ver más...


Da clic para seguir el vínculo:
Número de unidades de tiempo en un año
Tipos de interés equivalente según distintas unidades de tiempo









INTERÉS SIMPLE

 
Es importante saber que el interés simple significa básicamente que cuando realizas una inversión retiras solo el interés ganado y dejas solo la inversión original para el siguiente periodo.
Características
Los intereses no se acumulan al capital inicial
El horizonte temporal “n” es un factor
El stock final crece a lo largo del tiempo
image
 Ver más...

Ejm:
Un comerciante cuenta con un stock inicial de efectivo de 5000 dólares y un banco le ofrece una tasa de interés del 4% semestral cuando transcurren los cuatro semestres ¿Cuánto ascendió la renta acumulada en interés y stock final de efectivo a interés simple?
P = $ 5000
i = 4 %
n = 4 semestres
 image
Horizonte temporal Stock inicial Interés Stock final
0 5000
1 5000 200 5200
2 5000 200 5400
3 5000 200 5600
4 5000 200 5800
800

 Ver más...

Rspta:
I = $ 800
S = $ 5800
 Ver más...

Da clic para seguir el vínculo:
Formulas financieras de interés simple
La capitalización de interés simple
Fecha focal
Fórmulas derivadas del interés simple
Formas de calcular los periodos de tiempo
Relación entre el interés exacto y el interés comercial
Monto a interés simple
Variaciones de la tasa de interés simple
Multiplicación de un capital a interés simple
Valor actual o valor presente a interés simple
SUMA DE INTERESES – interés simple
MOVIMIENTO DE DEPÓSITOS Y RETIROS – interés simple























Métodos prácticos para determinar el interés simple

 
Da clic para seguir el vínculo:
Método de los divisores fijos
MÉTODO DE LOS NUMERALES


Tipos de interés equivalente según distintas unidades de tiempo

 
El interés varía según las unidades de tiempo, por ejemplo, si se tiene un interés anual, los tipos de interés equivalentes serian:

Año 15/1 15%
Semestre 15/2 7,5%
Cuatrimestre 15/3 5%
Trimestre 15/4 3,75%
Bimestre 15/6 2,5%
Mes 15/12 2,2%
Quincena 15/24 0,625%
Semana 15/52 0,288461538%
Día 15/365 0,04109589%

 Ver más...


Además debemos recordar:
Regla del cambio de interés y días

Menor Actual Mayor
i i/n i i(x)
N n(x) n n/x

 Ver más...



Número de unidades de tiempo en un año

BASE TEMPORAL NÚMERO
Año 1
Semestre 2
Cuatrimestre 3
Trimestre 4
Bimestre 6
Mes 12
Quincena 24
Semana 52
Día 365

 Ver más...

Método de los divisores fijos para interés simple

 
Se le llama divisor fijo (tasa anual y tiempo en años , meses o días) al cociente que resulta de dividir el capital regulador 100, 1200 y 36000 entre el tanto por ciento dado
Las formulas son las siguientes:
∆= divisor fijo
r = % anual
r = 100/∆ = ∆=100/r cuando se da en años
r = 1200/∆ = ∆=1200/r cuando se da en meses
r = 36000/∆ = ∆=36000/r cuando se da en días
 Ver más...

Ejm:
Confeccionar una tabla de divisores fijos para meses y días de la tasas del 8%; 0,5%; 2,5%; 14,5%; 24%; 30%; 45%.

TASA PROCESO DIVISOR FIJO TASA PROCESO DIVISOR FIJO
8% ∆= 1200/8 150 8% ∆=36000/8 4500
0,5% ∆=1200/0,5 2400 0,5% ∆=36000/0,5 72000
2,5% ∆=1200/2,5 480 2,5% ∆=36000/2,5 14400
14,5% ∆=1200/14,5 82,76 14,5% ∆=36000/14,5 2482,76
24% ∆=1200/24 50 24% ∆=36000/24 1500
30% ∆=1200/30 40 30% ∆=36000/30 1200
45% ∆=1200/45 26,67 45% ∆=36000/45 800

 Ver más...

Da clic para seguir el vínculo:
Formulas modificadas con divisor fijo para interés simple









Monto a interés simple

Se deduce la formula de la formula principal de interés simple:
Sabemos que
S = P +I
Entonces:
S = P + P . in
Factorizando:
S = P (1 + in)
 Ver más...

Ejm:
¿Que monto abra acumulado una persona en una cuenta de ahorros del 4 al 16 de octubre en una tasa de interés simple del 3% mensual, si el depósito mensual fue de 2500 dólares?
Datos
P= $ 2500
i= 0,03 mensual
n = 12/30
desarrollo:
S = P ( 1 + in)
S = 2500 ( 1 + 0,03 (12/30))
S = $ 2530
 Ver más...

Da clic para seguir el vinculo:
Derivadas de monto a interés simple

















MÉTODO DE LOS NUMERALES PARA INTERÉS SIMPLE

 
Un numeral es producto del capital por el intervalo de tiempo expresado en días:
Las formulas son:
image
 Ver más...

Se realizan las siguientes operaciones en una cuenta de ahorros que liquida intereses al 30 de noviembre a la tasa anual del 73%
2 de octubre depósito $ 150000
15 de octubre retiro $ 50000
30 de octubre depósito $ 100000
15 de noviembre depósito $ 100000

 Ver más...

Se desean determinar los intereses aplicando los numerales:
a) Sobre saldos
b) Sobre compensación
Solución:
Por saldos al 30 – 11
fecha Operación importe saldo Días Numeral
2 de octubre depósito $ 150000 $ 150000 13 1950000
15 de octubre retiro $ 50000 $ 100000 15 1500000
30 de octubre depósito $ 100000 $ 200000 16 3200000
15 de noviembre depósito $ 100000 $ 300000 15 4500000
11150000
 Ver más...

Calculo de ∆
image
 Ver más...

Por compensación al 30 – 11
fecha operación importe días numeral Acumulados
2 de octubre depósito $ 150000 59 8850000 8850000
15 de octubre retiro $ 50000 46 2300000 6550000
30 de octubre depósito $ 100000 31 3100000 9650000
15 de noviembre depósito $ 100000 15 1500000 11150000
 Ver más...

Ahora se aplica:
image
 Ver más...














Formas de calcular los periodos de tiempo

Financieramente existen dos formas de calcular los periodos de tiempo:
Da clic para seguir el vínculo:


Formulas financieras de interés simple

 
La fórmula principal de interés simple es:
I = P . i . n
Dónde:
I= interés
P=stock inicial de efectivo
i= tasa de interés
n=número de periodos
 Ver más...

Ejemplo:
Calcular los intereses que generan 150000 dólares durante 5 meses a un tipo de interés anual del 10%, aplicando:
a) un tipo de interés a base mensual
b) tipo de interés en base anual
Datos:
P=150000
i= 10% anual
n = 5 meses
a) interés en base mensual:
i=0,10/12 la tasa de interés se pone a periodo mensual
Ahora hallamos:
I = P . i . n
I = 150000 x 0,10/12 x 5
I = $ 6250
b) tipo de interés a base anual
en este caso no cambiamos para nada la tasa de interés, pero si cambiamos en periodo:
n = 5/12
I= 150000 x 0,10 x 5/12
I = 6250
Recuerda, si no te mencionan la capitalización de la tasa de interés debemos suponer que es anual
 Ver más...

Da clic para seguir el vínculo:
Formulas derivadas del interés simple
Fecha focal





























Formulas modificadas con divisor fijo para interés simple

Las fórmulas que hacen uso de divisor fijo para interés simple son:
image
 Ver más...

Ejemplo:
¿Cuál será el interés producido por 100000 dólares al 60% anual durante 6 meses?
I= ?
n= 6 meses
i = 60% anual
P = 100000
I = 100000 (6)/20 = $ 30000
∆= 1200/60=20
¿Qué interés producirá un capital de 6000 dólares prestado al 18% anual en 80 días?
P= $ 6000
r= 8% anual
n= 80 días
∆= 36000/8 = 4500
I= 6000 (80)/4500 = $ 106,67
 Ver más...















Valor actual o valor presente a interés simple

La fórmula se deduce de la fórmula de capitalización de un capital:
image
 Ver más...

Debemos tener en cuenta al factor simple de actualización a interés simple:
image
 Ver más...

Ejm:
Si el rendimiento normal del dinero es del 9%, ¿Qué oferta es más conveniente para un terreno?
a) 60000 dólares al contado
b) 20000 dólares de cuota inicial y el saldo en dos pagares, uno de 10000 dólares a 90 días y el otro de 32000 dólares a 180 días.
image
 Ver más...








Relación entre el interés exacto y el interés comercial

Se usan las formulas:
Interés comercial
image
 Ver más...

Interés exacto
image
 Ver más...

Además tenemos que Interés comercial > Interés exacto
Y tenemos las formulas:
image
 Ver más...

Ejm:
Si el interés comercial de una transacción es de 174,6 dólares, ¿Cuánto es el interés exacto a la misma tasa de interés y duran el mismo número de días?
image
 Ver más...










Derivadas de monto a interés simple

 
Tenemos las siguientes formulas:
image
 Ver más...

Ejm:
Hallar el capital que hay que imponer al 8% durante 220 días para obtener un monto de 10000 dólares.
i= 8% anual
n= 220 días : 220 / 365
S = $ 10000
image
 Ver más...

Una máquina cuyo precio de contado es de 6000 dólares fue adquirida con una cuota inicial de 2000 dólares y el saldo financiado con una letra de 45 días por un importe de 4500 dólares, ¿Cuál es la tasa mensual de interés simple cargada?
Datos:
P = 4000
S = 4500
n = 45 días
i = ?
Desarrollo:
image
image
 Ver más...

















Multiplicación de un capital a interés simple

Se hace uso de las siguientes formulas:
S = XP
I = P . i . n
I = S – P
I = XP – P
P . i . n = P (x – 1)
i . n = x – 1
image
 Ver más...

Ejm:
Un comerciante solicita un préstamo por 35000 dólares a la tasa de interés simple del 40% mensual comprometiéndose para el efecto de devolver un equivalente al quíntuplo del capital, ¿Cuánto tiempo debe transcurrir a fin de recibir el capital?
image
 Ver más...










Variaciones de la tasa de interés simple

Usamos la formula:
I = P (i1n1 + i2n2 + i3n3+…imnm)
 Ver más...

Ejemplo:
Calcular el interés simple de 5000 dólares colocado en el banco desde el 6 de julio al 30 de setiembre del mismo año ganando una tasa anual de interés simple del 18%, la tasa bajo al 12% a partir del 16 de julio y al 21% a partir del 16 de setiembre.

A partir de i n
6 de julio 18% 10 0,18 10/360
16 de julio 12% 62 0,12 62/360
18 de setiembre 21% 14 0,21 14/360
30 de setiembre

I = 5000 (0,18 (10/360) + 0,12 (62/360) + 0,21 (14/360)
I = $ 169,17
 Ver más...




SUMA DE INTERESES – interés simple

 
Se denomina suma de intereses al monto de intereses que producen ciertos capitales compuestos a diferentes tiempos pero para una misma tasa de interés.
Se aplican las siguientes formulas:
Haciendo: T = %
image
 Ver más...

El factor T/36000 se le llama factor de interés simple o multiplicador fijo y se le denomina “F”
image
 Ver más...

Ejemplo:
Calcular el monto de los intereses que generan los siguientes capitales y tiempos que se dan a continuación teniendo en cuenta que la tasa de interés es del 12% anual.
C1 = $ 8200 n1 = 60 días
C2 = $ 6000 n2 = 30 días
C3 = $ 7310 n3 = 45 días
C4 = $ 10500 n4 = 90 días
C5= $ 15000 n5= 120 días
image
 Ver más...














MOVIMIENTO DE DEPÓSITOS Y RETIROS – interés simple

image
 Ver más...

Ejemplo:
Una persona apertura una cuenta de ahorros el 1 de junio con 1100 dólares y efectua a partir de esa fecha durante el mes de junio , las operaciones realizadas en el cuadro siguiente ¿Qué interés habrá acumulado al 1 de julio, si la tasa mensual de interés simple fue el 4%, haz uso de los numerales.

Depósitos Retiros
1 de junio $ 1100 4 de junio $ 150
6 de junio $ 200 18 de junio $ 300
10 de junio $ 100 27 de junio $ 630
23 de junio $ 60
26 de junio $ 480
28 de junio $ 100

Solución:
fecha D/R importe debe haber Saldo acreedor días Numeral acreedor
1 de junio D $ 1100 $ 1100 $ 1100 3 $ 3300
4 de junio R $ 150 $ 150 $ 950 2 $ 1900
6 de junio D $ 200 $ 200 $ 1150 4 $ 4600
10 de junio D $ 100 $ 100 $ 1250 8 $ 10000
18 de junio R $ 300 $ 300 $ 950 5 $ 4750
23 de junio D $ 60 $ 60 $ 1010 3 $ 3030
26 de junio D $ 480 $ 480 $ 1490 1 $ 1490
27 de junio R $ 630 $ 630 $ 860 1 $ 860
28 de junio D $ 100 $ 100 $ 960 3 $ 2880
∑= $ 32810
1 de julio I 43,75 43,75 1003,75


Luego se aplica:

image
 Ver más...





Related Posts Plugin for WordPress, Blogger...

Buscar en este blog

Criterio de valoración probatoria de la sospecha grave en la prisión preventiva en el delito de lavado de activos

  Se ha publicado la tesis del Abg. Jonattan Poul León Segura, tesis titulada: " Criterio de valoración probatoria de la sospecha grave...